欢迎访问江苏铭盛环境设备工程有限公司官方网站!

网站地图 污水处理 联系我们

全国服务热线:15896468025

    当前位置:主页 > 新闻中心 > 行业资讯 >
    公司新闻
    分享至:

    钢铁酸洗废水处理与回收应用

    更新日期:2021-11-04 17:19

     

    工业污水,工业废水处理免费方案咨询电话:400-699-1558 ,江苏铭盛环境24H手机热线:158-9646-8025

     

     

     1、酸洗废水的来源及组成

     

    钢铁元件毛坯在外表电镀、喷涂前通常都要经过酸洗,以去除外表的氧化物,因此产生酸洗废液和酸洗废水。其中酸洗废液含酸浓度较高,可回收再生酸。而大量的冲洗水,即酸洗废水含酸量较低,用来回收则很不经济所以作为废水外排。不同的元件或不同的加工请求运用的酸的品种和浓度亦不同,如清洗钢铁工件或毛坯通常用硫酸,浓度为250g/L,加热到70℃清洗,废液中含有硫酸100~150g/L、硫酸亚铁200~250g/L,还有氧化铁皮和油污等。盐酸清洗废液中通常FeCl 280~150g/L、盐酸10~50g/L。不锈钢毛坯或工件通常用硝酸和氢氟酸依照一定的比例配成混合液实行清洗。

     

    2 酸洗废水的危害

     

    含酸废水的主要危害是腐蚀下水管道和钢筋混凝土等水工构筑,妨碍废水生物处置中的生物繁殖,酸度大的废水会毒死鱼类,使庄稼枯死,影响水生作物生长。含酸废水渗入土壤时间长了会形成土质钙化毁坏土层松状态因此影响农作物生长。人畜饮用酸度较大的水可惹起肠胃发炎以至烧伤。

     

    在酸洗工序中产生大量酸雾不只损伤工人的身体安康而且使厂房、设备遭到腐蚀同时大量酸雾的挥发形成酸液损耗增加酸洗本钱。酸洗废水中还含有大量的重金属离子由其超标而形成的对水体的污染对生物毒害乃至最终对人类安全的伤害都是显而易见的。

     

    3 酸洗废水的处置和综合应用

     

    3.1 硫酸废液的处置

     

     

    钢铁工业硫酸洗液处置工艺主要有中和法、硫酸铁盐法、有机溶液萃取法、渗析法、离子交流法等办法。后面三种办法尚处于实验研讨阶段工业应用较多的是硫酸铁盐法制备硫酸亚铁、聚合铁及颜料等产品。

     

     

    3.1.1 中和法

     

     

    早期关于含酸1%以下的酸性工业废水处理通常采用化学中和法。详细办法有酸、碱废水中和、投药中和、过滤中和等。其中过滤中和通常适用于含油和盐较少含酸浓度不高硫酸小于2g/L盐酸、硝酸小于20~30g/L的酸性废水该法通常不用于钢铁酸洗废水处置。前两种办法的处置原理和优缺陷等见表1

    1 酸性废水的中和法分类及其特性

     

     

     处置钢铁酸洗废水最常用的是石灰中和法向废水中加如生石灰将废水实施中和使pH值到达5.6~6.5之间到达国排放规范后排放。

     

    中和法简单易行但是存在下列问题管理繁琐不易控制废水处置量遭到限制废水中的硫酸、水、FeOFe3O4FeSO4未能应用处置过程中生成的气体扩散,造成二次污染污泥量大剩下的盐类残渣处理难度大。故而人们不断在寻觅有效处理这些问题的新途径。

     

     

     

    3.1.2 硫酸铁盐法

     

     

    此法的特性是废液中的铁可以再应用因而受到研讨人员注重逐步成为了较成熟的适用技术。以下六种办法,已经在实际工程中得到应用

     

     

    1)浓缩过滤自然结晶法

     

     

    又名铁屑法先将硫酸废液与铁屑置于一个反应槽中进行反响再将溶液加热到100℃反响2h再加热浓缩后自然冷却使硫酸亚铁结晶析出最后由甩干机脱水烘干。其工艺流程见图1

     

     

    该法能够从酸洗废水中回收低、中、高三级硫酸亚铁供工农业、医药、化学试剂用。具有简单易操作、投资少、费用低等优点但只能回收硫酸亚铁不能回收硫酸处置量少,品质量差、生产周期长,较为合适于乡镇企业小型生产。首钢特殊钢公司采用该法处置轧钢酸洗废液经离心甩干后残液含酸浓度为0.5%硫酸亚铁为150~170g/L

     

    2浸没燃烧高温结晶法

     

    该法的主要原理是将煤气和空气燃烧,产生高温烟气,直接喷入废酸水,使水分蒸发,浓缩了硫酸同时析出硫酸亚铁。工艺流程见图2

     

     

    在二十世纪六七十年代上海、天津、吉林等地采用浸没燃烧高温结晶法将浓度12%~15%废酸提升45%~57%同时制备含一个结晶水的硫酸亚铁FeSO4H2O。该法的优点是热效再生酸浓度高设备较易处理缺陷是酸雾大需用可燃气体较适用于处置量大的废酸。

     

     

    3蒸汽射真空结晶法

     

     

    将废酸液用雾化效率高的喷头射到燃烧着的火焰上使水分蒸发,通常可得到约35%的硫酸和一定量的FeSO4H2O。其工作原理是经过蒸汽放射器和冷凝器使蒸发器和结晶器维持一定的真空度。 当温度适合废液经过时其中的水分在绝热情况下蒸发从而浓缩了废液降低了废液温度相应地降低了硫酸亚铁的溶解度增加了它的过饱和水平。同时蒸发器中由于硫酸的参加使硫酸亚铁的过饱和水平进一步提升。在此状况下硫酸亚铁结晶析出。此办法请求运用的材质有较高的耐腐蚀性易于产生二次污染或运转不稳定而不能正常生产

     

     

    4蒸发浓缩冷却结晶法

     

     

    其根本原理是应用负压蒸发浓缩废液然后在低温下从废液中析出硫酸亚铁结晶并得到再生硫酸。适用于回收大型钢铁厂的酸洗废液中的硫酸亚铁和硫酸。其工艺流程见图3

     

     

    二十世纪70年代初上钢三厂在上海市政工程设计院的辅佐下制定了蒸发浓缩冷却结晶盐酸别处理工艺。整个过程不产生二次污染,实现无害化处置的目的,具有良好的经济效益和环境效益。

     

     

    5调酸冷冻结晶法

     

     

    冷冻结晶处置硫酸酸洗废液是经过控制硫酸亚铁从废液中结晶的条件使硫酸亚铁结晶离。到达净化酸洗废液及回收硫酸亚铁的效果。其主要流程是向废酸洗液中加浓硫酸使硫酸的重量百分比浓度调至22%~25%再用致冷法使废液温度由20~40℃降至0~3℃以降低硫酸亚铁的溶解度并结晶析出经过滤固液离。回收硫酸亚铁并将除去硫酸亚铁的再生酸回用。调酸冷冻结晶法具有工艺流程短、设备投资省、动力耗费小、操作人员少、运转费用低和易操作、无二次污染等优点。合适我国中小型企业少量钢材硫酸酸洗废水的理。是二十世纪八九十年代国内外较多钢铁企业采用的较为成熟的办法。

     

     

    6碱液硫酸亚铁共沉淀法

     

     

    该法是将中和法和硫酸亚铁法联合起来处置酸性废水的。其根本原理是:在废水中加碱液或石灰以中和酸性废水,生成硫酸钠。生成的硫酸钠仍具有一定的溶解度,需投入聚丙烯酰胺絮凝剂,使金属离子汇集沉降。采用两级处置将第一级处置所得的沉渣用搅拌器搅拌以毁坏沉淀与液相中离子的均衡,再经中和塔,使其充沛反响,再实行第二级沉降处置,以取得较好的效果。本法合适于处置含硫浓度较高的酸性废水。

     

     

    3.1.3 扩散渗析隔阂电解

     

     

    早在二十世纪七十年代就应用扩散渗析隔阂电解法来综合处置酸洗废水。废酸进入扩散渗析器,器中装有阴离子交S-203204张,膜二侧分别为水相和废酸相由于两相存在酸的浓度差,加上离子交膜的选择透过性和分子筛作用,使废酸中的游离酸持续进入水相,成为所要回收的硫酸。残液进入隔阂电解槽,插有阴阳极,中距离着阴离子交流膜F-201成阴极室和阳极室,应用阴膜的选择透过性,在直流电场的作用下,使残液中的铁离子和硫酸根离子原为纯铁,在阳极室硫酸根离子和氢离子结合成硫酸。

     

     

    这种办法的优点是设备简单,回收效率高,能够回收废酸和提取铁。缺陷是耗电量较高。

     

     

    3.1.4 氧化铁红硫铵法

     

     

    此法是近几年开展起来的目的是把废液中的铁直接氧化成铁红,将硫酸制成硫铵化肥分别实行回收。能够分为直接铁红法和间接铁红法。2003年舒华在pH5.5、温度80℃、常压下通空气22h采用直接通空气法,将Fe2+氧化为Fe3+。并试制出产品铁红粉,回收率为77%

     

     

    3.1.5 湿地法

     

     

    湿地法是国内外上个世纪末研讨的一种新处置工艺。但由于湿地法所需空间大,处置水平受环境影响很大,而且剩余硫化氢从土壤中逸出污染大气环境,因而湿地法在应用上有很大的局限性。

     

     

    3.1.6 生物法

     

     

    该法主要用于处置硫酸性废水及回收单质硫工艺。生物法处置酸性废水的根本原理就是在厌氧条件下应用硫酸盐复原菌Sulfate Reduction BacteriaSRB,使SO42-原为H2S,再用化学法或生物法将H2S氧化为单质硫,进而从水中回收紧缺物资单质硫。

     

    3.2 盐酸废液的综合应用研讨

     

     

    处置硫酸酸洗废水的办法如中和法、结晶法等均可用来处置盐酸酸洗废水。但盐酸具有挥发性,还有一些新的处置办法。

     

     

    3.2.1 高温焙烧法

     

     

    盐酸废液的回收处置技术主要有高温焙烧法,该法又分为直接焙烧法和蒸发结晶焙烧法。直接焙烧法是将盐酸废液直接喷入焙烧炉与高温气体相接触,使废液中的盐酸和氯化铁蒸发合成,回收盐酸和氧化铁,该法处置量大,盐酸回收率高。蒸发结晶焙烧法是在真空状态下实行低温蒸发,使酸液中的盐酸和亚铁盐得到离,制得氯化亚铁,然后将氯化亚铁焙烧,回收盐酸和氯化铁。

     

     

    3.2.2 鲁奇法

     

     

    武汉钢铁公司冷轧厂的鲁奇法盐酸废液再生装置是1975年从原西德陶瓷化学公司引进的。用该法处置后,废酸成份为含氯化铁110~130g/L,盐酸30~50g/L。再生盐酸浓度80~200g/L,氧化铁的回收量为1200kg/h

     

    3.2.3 薄膜蒸发法

     

     

    早在二十世纪七十年代维尼纶厂应用薄膜蒸发法将含硫酸12%、甲醛1.2%的废水浓缩回用于生产。江苏石油化工学院精密化工研讨所于2000年对冷轧板酸洗后产生的废酸采用二效升降膜法进行薄膜蒸发浓缩,并回收稀盐酸和氯化亚铁获得了良好效果。该法工艺流程是酸洗钢板后的废酸进入废酸高位槽,经计量后进入预热,再进入二效升膜蒸发器,二效升膜蒸发器产生的气体进入预热器冷凝后,进一步冷却后返回酸洗车间运用,未蒸发的废酸进入一效降膜蒸发器实行降膜蒸发。经升、降膜蒸发后的浓缩废酸中氯化亚铁含量较高经冷却后即成结晶,用离心机离,母液回入废酸高位槽反复蒸发浓缩。得到的氯化亚铁晶体可出卖或加工成其它产品,回收的7%稀盐酸可返回酸洗车间实行配酸,并且总量能坚持均衡,使系统处于闭路循环。

     

     

    3.2.4 蒸馏法

     

     

    2001年,上海宝钢集团南京梅山冷轧板有限公司投资52.3万元实行技术改,对酸洗废水实行蒸馏处置闭路循环。生产试用效果良好。每年不只节约原处置废水的200多万元资金还可变废为宝获得年经济效益60~80万。

     

     

    3.3 硝酸、氢氟酸混合废液的综合应用

     

     

    硝酸氢氟酸混合废液的综合应用技术,目前成熟的有中和回收法、氟化铁钠法、离子交换树脂法、溶剂萃取法、减压蒸发法和硝酸、氢氟酸分别全部回收法等。

     

     

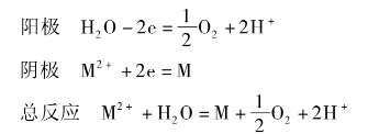
    董泉玉等经过对常用于清洗不锈钢氧化皮的含有氢氟酸酸洗废液实行电解,初步找到了电解法处理酸洗废液再生应用的办法。这对处理国内外至今尚未处理的排放污染问题有较大的适用价值。他们采用酸性电解,经过对阴、阳极反响机理的研讨,探讨其影响要素。应用氟的析出电势很高和废液金属离子浓度较高的特性电解时使阳极上只进行水的电解,阴极上只进行金属的堆积。反响式如下:

     

     

    电解酸洗废液的结果使废液的酸度增加F-离子含量并未减少这样就能使含氢氟酸的废酸再生应用。

     

     

    4 酸洗废水处置技术瞻望

     

    综上所述国内外对强腐蚀性废酸的处置主要有3类办法

    1)应用中和设备充沛中和

    2)应用燃烧设备充沛燃烧

    3)应用离子交设备等其它设备实行再生回收。

     

     

    国内多采用办法(1)或(3)。这些办法存在的问题主要是易形成二次污染或费用高等。

     

     

    化学法是最古老但又是最根本的废水处置办法之一,由于它具有处置效果好、投资少、操作简单等优点,故至今仍为世界各国所采用。有许多新的处理办法如铁氧体法、电解法等也都是在化学法的基础上开展起来的。化学法的最大缺陷是污泥量大,污泥脱水艰难,且难于回收应用。因此影响了它的应用和开展。假如这一难点可以得到处理,就目前看来化学办法仍然是最适用于废水综合处置应用的办法之一。近些年来对中和法工艺的改良以及电解法的逐渐完善使钢铁酸洗废水工艺日趋成熟。目前国内外已有人将电渗析、离子交流膜、纳滤等方法应用于回收处置钢铁酸性废水,并获得了一定的效果是极有前景的废酸液处置和综合应用办法。另外生物法关于综合处置钢铁酸洗废水也具有一定的潜力。